Quina relació hi ha entre la resistència d’un material i la forma que aquest pugui tenir?
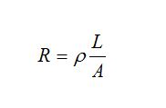
La resistència d’un material depèn de dos factors: la resistivitat i la relació entre la geometria d’aquest material. L’equació que relaciona aquests factors s’expressa matemàticament de la següent forma:
L és la longitud del material, A la seva secció, i ρ la resistivitat, un paràmetre que quantifica el grau d’oposició al pas del corrent elèctric,i que depèn de la temperatura.
A igual temperatura doncs, un mateix material presenta diferent resistència en funció de com es connecti. Concretament, de la relació entre la longitud L que recorren els electrons pel material i la secció de la connexió A.
Quan més petita la secció d’una connexió, mantenint la llargada, major resistència.
Quan major longitud del conductor, mantenint la secció constant, major resistència.
Per veure un exemple, suposem un conductor en forma de prisma de dimensions 1 cm de gruix, 5 d’ample i 10 cm de llarg.
Si connectem segons a: R=ρ·5/(1·10) = ρ/2
Si connectem segons b: R= ρ·1/(5·10)= ρ/50
Si connectem segons c: R= ρ·10/(1·5) = ρ·10
La connexió c és la que presenta major resistència, seguida de la a, i finalment de la c.

La resposta fa referència a la resistència elèctrica. La pregunta no feia referència a quina resistència en concret, i per això s’ha interpretat com la resistència elèctrica, en la qual la forma influeix, tot i que no sigui evident. Efectivament, la resistencia electrica depen de la resistivitat, un paràmetre que depén només de la temperatrura, i de la geometria, concretament de la relació entre la longitud que travessen els electrons, i la secció de connexió del cable.
Voleu dir que no es confusa la explicació? De què va aquest article? de la resistència mecànica d’un material o de la resistència elèctrica?